Влияние на экономические показатели электросетевых компаний регулирующего эффекта нагрузки и его оценка для электрической энергии

Аннотация

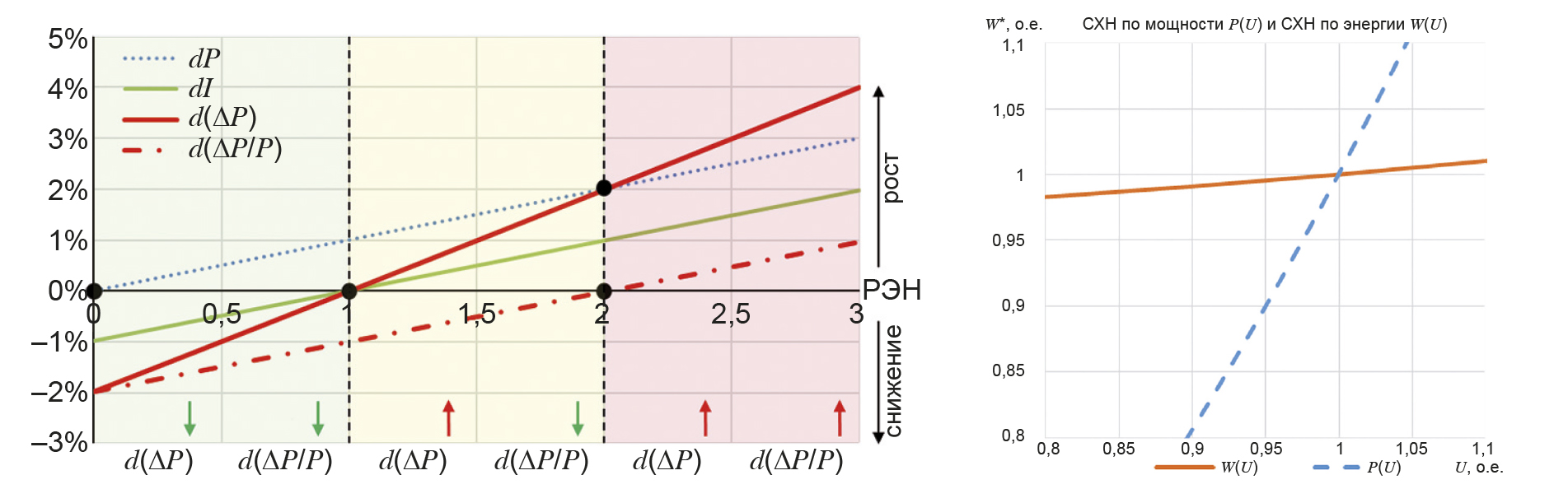
Экономическая эффективность регулирования напряжения в электрических сетях проявляется на длительных интервалах времени и определяется изменением оплачиваемого потребления электроэнергии (ЭЭ). При формировании мероприятий по снижению потерь электроэнергии и мощности важную роль играют статические характеристики нагрузки (СХН) по энергии, связывающие потребление ЭЭ с величиной питающего напряжения. Различие между СХН по мощности и по энергии определяется системами управления их мощностью. В статье представлена экономическая модель дохода электросетевой организации, сформированная на основе показателей, зависимых от уровня напряжения. Приведены результаты лабораторных испытаний по идентификации СХН по энергии бытовых электроприборов. Исследованы различия и соотношение регулирующих эффектов по мощности и по энергии для приемников с различными системами управления мощностью. Показан регулирующий эффект коммунально-бытовой нагрузки по энергии.

Ключевые слова: статические характеристики нагрузки, энергопотребление, потери мощности, экономические показатели, регулирование напряжения

Оформить подписку Купить статью

Поделиться:

«ЭЛЕКТРОЭНЕРГИЯ. Передача и распределение» № 1(94), январь-февраль 2026

Применение алгоритмов машинного обучения для верификации управляющих воздействий в системах противоаварийного управления режимами энергосистем

Энергоснабжение / Энергоэффективность Цифровая трансформация / Цифровые сети / Цифровая подстанция
Сенюк М.Д. Паздерин А.В. Сарапулов С.Ф.
«ЭЛЕКТРОЭНЕРГИЯ. Передача и распределение» № 1(94), январь-февраль 2026

Повышение эффективности работы агрегатора управления спросом на электроэнергию на основе холонического подхода

Энергоснабжение / Энергоэффективность Цифровая трансформация / Цифровые сети / Цифровая подстанция
Колосок И.Н. Коркина Е.С.
«ЭЛЕКТРОЭНЕРГИЯ. Передача и распределение» № 6(93), ноябрь-декабрь 2025

Революционный прорыв в сфере учета электроэнергии: счетчик с ИИ

Энергоснабжение / Энергоэффективность Цифровая трансформация / Цифровые сети / Цифровая подстанция
АО «Электротехнические заводы «ЭНЕРГОМЕРА»
«ЭЛЕКТРОЭНЕРГИЯ. Передача и распределение» № 6(93), ноябрь-декабрь 2025

Снижение потерь электроэнергии в электрических сетях — часть комплексной задачи обеспечения их эффективного функционирования и развития

Энергоснабжение / Энергоэффективность
АО «Россети Научно-технический центр»
«ЭЛЕКТРОЭНЕРГИЯ. Передача и распределение»