В работе рассмотрена диагностика медленно развивающихся дефектов изоляции на воздушной линии электропередачи. Предлагаемая диагностика заключается в предварительном формировании трехфазной математической модели линии, в периодическом измерении значений фазных токов в линии и напряжений по концам контролируемой линии. На основании измерений выполняются расчеты режимов математической модели и формируются эпюры фазных напряжений и токов вдоль линии с одного конца линии и с другого. На линии без дефектов эпюры с одного конца линии и с другого должны совпадать. Развитие дефектов в изоляции характеризуется постепенным снижением сопротивления и увеличением тока утечки на землю, следовательно, появление дефекта приводит к изменению эпюр напряжений вдоль линии и их несовпадению. Пересечение эпюр напряжений показывает место возникающего дефекта, а увеличение расхождения эпюр со временем показывает развитие дефекта.
Тигунцев С.Г., к.т.н., доцент кафедры Электрических станций, сетей и систем ФГБОУ ВО «Иркутский национальный исследовательский технический университет»
Шепураев А.А., студент кафедры Электрических станций, сетей и систем ФГБОУ ВО «Иркутский национальный исследовательский технический университет»
Проблема аварийности воздушных линий (ВЛ) электропередачи непосредственно связана с надежностью работы энергосистем и надежностью электроснабжения потребителей, а потому своевременная диагностика повреждений (дефектов) ВЛ позволяет предотвратить аварийные отключения и повысить надежность.
На количество аварийных отключений ВЛ и надежность их работы влияет большое количество различных эксплуатационных факторов: природно-климатические условия эксплуатации, конструктивные особенности элементов, период эксплуатации и т.п. [1]. Поэтому для повышения надежности работы линий электропередачи необходимо определить реальные причины отказов элементов ВЛ и меры, направленные на их снижение. По статистике ПАО «ФСК ЕЭС», причины, связанные с несвоевременным выявлением и устранением дефектов, занимают больше четверти от всей массы аварийных отключений (26%) [2]. Согласно имеющимся данным, наиболее повреждаемыми элементами воздушных линий класса 110–750 кВ являются провода (50,4%), изоляторы (29,7%) и грозозащитные тросы (13,8%) [3]. Состояние изоляции по всей протяженности ВЛ является важным условием надежности ее работы, основными причинами повреждения изоляторов ВЛ являются: атмосферные перенапряжения (29,3%), расстрел изоляторов (17,5%), дефекты изготовления и монтажа изоляторов (17,3%), старение изоляторов (7,9%), загрязнение изоляции, в том числе птицами (8,3%), посторонние воздействия и недостатки эксплуатации (7,3%). Погодные условия, в свою очередь, оказывают влияние на состояние изоляции, в исследовании [4] определено, что в утренние часы при возникновении росы сопротивление как загрязненных, так и чистых изоляторов кратно снижается (до 5–50 МОм соответственно), при этом влияние дождя оказывает незначительное действие по причине отсутствия увлажнения нижней части изолятора.
Повысить надежность работы ВЛ и сократить количество отказов возможно при использовании своевременной диагностики состояния изоляции. Согласно ПТЭЭП [5] при эксплуатации ВЛ должны производиться их периодические осмотры (не реже 1 раза в год), верховые осмотры с выборочной проверкой (при эксплуатации более 20 лет или на участках ВЛ, проходящих в зоне интенсивного загрязнения, не реже 1 раза в 5 лет) и внеочередные осмотры. Предполагается, что изолирующие подвески, на которых произошло перекрытие, могут быть обнаружены по разрушенным изоляторам или следам дуги. Однако часто перекрытие гирлянд стеклянных изоляторов не приводит к их разрушению или образованию хорошо заметных следов дуги, обнаружить повреждение полимерного изолятора с земли также является трудной задачей, ввиду их малых размеров и используемых материалов сложно выявить пути протекания тока. В современных условиях выполнение верховых осмотров возможно с применением беспилотных летательных аппаратов, позволяющих упростить и ускорить процесс осмотра [2].
ОБЗОР СУЩЕСТВУЮЩИХ МЕТОДИК ДИАГНОСТИКИ
Измерение распределения напряжения по гирлянде изоляторов [6] — данный метод применяется только для фарфоровой изоляции и в связи с применением современных материалов теряет свою актуальность.
Альтернативным методом диагностики является тепловизионный контроль, который основывается на определении излучательной температуры проводов, контактных соединений, арматуры и изоляции [6]. Полученные результаты диагностики при использовании данного метода зависят от большого количества влияющих факторов и требуют правильной интерпретации, так, например, «нулевые» изоляторы в гирляндах могут быть как «холоднее», так и «теплее» исправных изоляторов [7].
Для диагностирования частичных разрядов применяются специализированные электронно-оптические дефектоскопы [8]. Применение приборов «солнечнослепого» УФ-контроля повысило помехозащищенность и позволило выполнять измерения в светлое время суток, но высокий коэффициент усиления значительно затрудняет обработку полученных данных, поскольку приводит к представлению всех разрядов в виде ярких белых пятен одинакового размера, что не позволяет оценить интенсивность излучения и степень повреждения [9]. Кроме того, усиление сигнала не гарантирует полного отсутствия помех, к существенным недостаткам относятся высокая стоимость и низкая эксплуатационная надежность [10].
Также возможно применение беспилотных летательных аппаратов совместно с УФ-методом [9] и методом тепловизионной диагностики [11], что повышает их эффективность, так как данные методы требуют наличия прямой видимости источника дефекта.
Сравнительно дешевым аналогом являются акустические методы, основанные на регистрации звуковых и ультразвуковых колебаний, возникающих при возникновении частичных разрядов [12]. Наиболее инновационным направлением развития является акустооптический метод с применением ультразвуковых камер, которые позволяют визуализировать источник звука. Опыт применения подтверждает, что данная технология позволяет локализовать дефект на достаточно большом расстоянии [13].
В качестве разрабатываемых методик диагностики рассматриваются вопросы прогнозирования количества аварийных отключений на основе статистических данных, по результатам которых возможно принятие решений о необходимости выполнения мероприятий, направленных на снижение количества отказов [14].
Представленные методы диагностики трудоемки, обладают рядом ограничений: требуют применения сложного оборудования и программного обеспечения, зависят от погодных условий, недостаточно чувствительны.
ЦЕЛЬ РАБОТЫ
Целью работы является создание бесконтактного метода, не требующего применения сложных приборов, имеющего достаточную чувствительность.
Предложенное решение в общих чертах известно по работам [15–18]. Однако в них не упоминается об использовании фазных координат, что является существенным признаком решения, и не определяется место нарушения изоляции в режиме реального времени, что является результатом технического решения.
Состояние изоляции линии электропередачи определяется активным сопротивлением между проводом и землей, которые определяют токи утечки на землю, а также емкостным сопротивлением. Сопротивление изоляции можно представить в виде схемы замещения (рисунок 1) [19].

Токи утечки имеют преимущественно активный характер, их величина зависит от степени загрязнения атмосферы (СЗА) и интенсивности увлажненности изоляции.
Ток утечки определяют по закону Ома:

где Uиз — напряжение, приходящееся на один изолятор, кВ; Rиз — сопротивление изолятора, Ом.
Для моделирования процесса возникновения дефекта необходимо задать сопротивление изолятора в предразрядном состоянии. Приведенные данные в работах [20, 21] демонстрируют, что на реальной ВЛ сопротивление изоляции может сильно различаться, однако при статистической обработке данных возможно выявление мест с повышенной СЗА и сниженным уровнем изоляции.
ПРЕДЛАГАЕМАЯ МЕТОДИКА
В качестве альтернативного метода в данной работе предлагается диагностика медленно развивающихся дефектов изоляции путем оценки параметров режима работы ВЛ. Метод основан на периодической фиксации значений фазных токов в линии и напряжений по концам линии, что позволяет отслеживать развитие дефектов в контролируемом промежутке времени. На основе измерений, сделанных с обоих концов линии и заданных параметрах линии, в специализированном программно-вычислительном комплексе (ПВК) «Определение места повреждения», разработанном на кафедре ЭССиС ИРНИТУ [22], формируются эпюры фазных напряжений и токов вдоль линии электропередачи с одной и с другой сторон. В основе программного комплекса лежит метод численного интегрирования дифференциальных уравнений [23, 24]. Для решения уравнений ВЛ разбивается на K участков равной длины, для каждого К-го участка формируется П-образная схема замещения линии в трехфазном виде путем ввода значений продольных сопротивлений и поперечных емкостных проводимостей. В соответствии с алгоритмом, по измеренным значениям токов и напряжений с обеих сторон ВЛ рассчитываются токи и напряжения в конце каждого участка, которые становятся токами и напряжениями в начале следующего участка. В нормальном режиме по изоляции течет так называемый фоновый ток утечки, величина которого сравнительно мала, соответственно при расчете электроэнергетического режима работы ВЛ в фазных координатах эпюры напряжений, рассчитанные с обоих концов линии, должны совпадать. Развитие дефекта в изоляции характеризуется увеличением тока утечки на землю [25], что приведет к изменению эпюр напряжений вдоль линии и их несоответствию.
ПРОВЕРКА МЕТОДИКИ НА РАСЧЕТНОЙ МОДЕЛИ ЛИНИИ
Проверку методики проведем на расчетной модели линии в трехфазном виде, для чего сформируем модель ВЛ в фазных координатах (ФК) и выполним расчетные эксперименты по расчету электрического режима ВЛ в ПВК «Расчет режимов в фазных координатах» [22] при отсутствии дефектов и при дефектах разной величины. Далее в программном комплексе «Определение места повреждения» [26] определим наличие и место дефекта.
Согласно [22, 23, 27] собственные продольные сопротивления линии в ФК определяются по следующей формуле, Ом/км:

где Rn — активное сопротивление провода, Ом/км; Rз = 0,05 Ом/км, характеризует потери активной мощности при прохождении тока через землю на частоте 50 Гц; DЗ=938≈1000 м — глубина прохождения эквивалентного тока через землю на частоте 50 Гц (выбирается для каждой территории в отдельности); ρЭ — эквивалентный радиус провода, м.
Взаимное продольное сопротивление между проводами линии определяется по формуле, Ом/км:

где D — расстояние между проводами фаз (независимо от их взаимного расположения относительно земли), м.
Матрица погонных продольных собственных и взаимных сопротивлений имеет следующий вид:

где n — количество фазных проводов (n = 3, 6, 9, …).
Погонные поперечные емкостные сопротивления определяются с использованием уравнений Максвелла [27]:

где α — потенциальные коэффициенты м/Ф; q — заряды на проводах; n — число фазных проводов.
Представленная система сокращенно записывается в матричном виде:

Коэффициенты αnn — собственный потенциальный коэффициент n-го провода и αin — взаимный потенциальный коэффициент проводов i и n определяются по выражениям:

где ε0 — электрическая постоянная, равная Ф/м; ε — относительная диэлектрическая проницае- мость (для воздуха ε=1); ρэ — эквивалентный ради- ус провода, м; Hnn — расстояние от n-го провода до своего зеркального изображения, м; Hin — расстояние от n-го провода до зеркального изображения i-го провода, м; Din — расстояние между i-м и n-м проводами, м.
Выразим заряды q через емкостные коэффициенты. Зная потенциальные коэффициенты α, можно определить емкостные коэффициенты β по формуле:

Преобразуем уравнения Максвелла относительно зарядов q и получим:

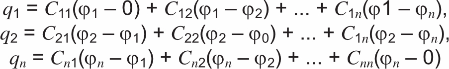
Для дальнейшего расчета выразим заряд каждого провода не через потенциалы φ, а через разности потенциалов между проводами или между проводом и землей (потенциал земли равен нулю):

или

где Uii — разность потенциалов между i-м фазным проводом и землей; Uin — разность потенциалов между i-м и n-м фазными проводами; C — собственные частичные емкости.
Собственные частичные емкости Cii находятся по формуле:

Взаимные частичные емкости Cij определяются по формуле:

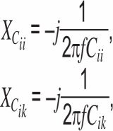
Погонные поперечные емкостные сопротивления находятся по следующим формулам:

где f — частота 50 Гц.
Матрица погонных поперечных емкостных сопротивлений имеет следующий вид:

РАСЧЕТНЫЕ ЭКСПЕРИМЕНТЫ
На рисунке 2 показана схема трехфазной линии длиной 200 км с двухсторонним питанием номинальным напряжением 220 кВ, подключенная концами к шинам подстанций (ПС А и ПС Б), которые связаны через сопротивления с питающими системами, заданными фазными ЭДС. Для обеспечения точности расчета режима модель линии разделена на 20 участков длиной 10 км.

Для одноцепной ВЛ 220 кВ (с проводом марки АС-240/32, типом опор П-220–1, без грозозащитного троса) найдены матрицы продольных собственных и взаимно индуктивных сопротивлений для участка 10 км, Ом, [28]:

Для участка длиной 10 км найдена матрица поперечных емкостных сопротивлений, МОм:

Результаты расчета установившегося режима без дефектов для напряжений и токов в начале и конце ВЛ, полученные с использованием ПВК «Расчет режимов в фазных координатах» [22], показаны на рисунке 3.

Для выполнения расчета в программе «Определение места повреждения» [26] необходимо сформировать погонные емкостные проводимости:

Матрица поперечных емкостных проводимостей на 1 км, См/км:

Для построения эпюр напряжений вносим в программу «Определение места повреждения» [26] полученные расчетные или измеренные данные напряжений и токов в начале и конце ВЛ (рисунок 3), где строка 1 — фаза А, строка 2 — фаза В, строка 3 — фаза С, параметры участков линии на 1 км (рисунки 4 и 5) и получаем эпюры напряжений каждой фазы (рисунки 6–8).


В программе ОМП заложен алгоритм определения токов и напряжений в конце каждого участка трехфазной линии по известным токам и напряжениям в начале участка и продольным и поперечным параметрам участка. Расчет проводится с одного и другого концов линии.



На рисунках 6–8 показаны результаты расчета в виде эпюр напряжений вдоль линии. На левом верхнем графике показаны эпюры модулей фазных напряжений вдоль линии с одного (красный цвет) и с другого (зеленый цвет) концов линии. Видно, что эпюры фазных напряжений с одного и с другого концов линии практически совпадают. Небольшое расхождение напряжений (график модуль разности, менее 0,1%) можно объяснить тем, что расчет на модели линии выполняется для участков по 10 км, а эпюры напряжений строятся для участков по 1 км. На левом нижнем графике показаны эпюры углов фазных напряжений. На правом верхнем графике показана разность модулей напряжений с одного и другого концов линии. На правом нижнем графике показана разность углов напряжений.
МОДЕЛИРОВАНИЕ ПОВРЕЖДЕНИЯ ИЗОЛЯТОРОВ
Для моделирования повреждения изолятора (тока утечки) на 150 км фазы C на схеме замещения (рисунок 2) включено активное сопротивление на землю величиной 60 кОм, далее в исходные данные ПВК «Расчет режимов в фазных координатах» введена ветвь 315–0 с активным сопротивлением 60 000 Ом.
Результаты расчета (напряжения и токи по концам линии) введены в программу ОМП [26]. На рисунке 9 приведена эпюра напряжений фазы C. Эпюры напряжений пересекаются в точке дефекта (150 км). На графике модулей разности появляется характерный излом в точке включения дефекта (150 км).

Далее моделируем увеличение тока утечки уменьшением сопротивления изоляции (30 кОм, 15 кОм, 6 кОм) в том же узле для нахождения закономерности влияния сопротивления на изменение эпюр напряжений (рисунки 10–13). Чтобы результат был более наглядным, увеличим масштаб эпюры напряжений для 15 кОм (рисунок 12).




Анализ эпюр показывает, что в точке пересечения эпюр фазных напряжений на 150 км линии присутствует незначительное нарушение изоляции. Более точную картину демонстрирует модуль разности напряжений, из которого видно начало расхождения модулей напряжений от 150 км линии (правый верхний график). При уменьшении сопротивления гирлянды изоляторов выявлена тенденция увеличения модуля разности напряжений и, соответственно, расхождения эпюр напряжений по концам линии. Также проведены расчетные эксперименты для ВЛ 110 кВ и 500 кВ, которые показали аналогичный с ВЛ 220 кВ результат.
В статье представлены расчеты для дефектов, расположенных только в одном узле, но при эксплуатации ВЛ могут появляться случаи возникновения дефектов одновременно в разных точках по всей длине линии. В ходе работы имитировалось снижение сопротивления изоляции в нескольких узлах, в результате расчета режима точка пересечения эпюр напряжений смещалась в среднее положение между местами дефектов. Однако одновременное возникновение дефектов в разных точках линии маловероятно, поэтому при регулярной, в режиме реального времени, расчетной диагностике возможность точной локализации повреждений по точке пересечения эпюр напряжений вполне осуществима. Устранение выявленного дефекта позволит выявлять последующие дефекты.
ЗАКЛЮЧЕНИЕ И ВЫВОДЫ
Научная проблема по исследованию и созданию систем оценки состояния изоляции ВЛ остается актуальной. В статье рассмотрены существующие и разрабатываемые методы диагностики изоляции ВЛ.
На основе созданной модели воздушной линии электропередачи в фазных координатах выполнен расчет параметров режима работы и проведено моделирование процесса развития дефекта путем изменения сопротивления изоляции относительно земли. Метод не требует дополнительного оборудования и может быть реализован на основе измерений цифровых устройств РЗА, ССПИ и использован в системах автоматизированного мониторинга состояния ВЛ.
Предлагаемый метод расчета показывает свою работоспособность и возможность его применения на реальных ВЛ. В дальнейшем планируется выполнение верификации метода на реальных ВЛ с различными вариантами топологии электрической сети с учетом влияния транспозиции, стрелы провеса проводов, грозотросов ВЛ, активной проводимости на землю на всей линии. ![]()
ЛИТЕРАТУРА
- Иванов В.А. Разработка методов контроля состояния изоляторов высоковольтных ВЛЭП по величине токов утечки с телеметрической передачей информации. Дис. … канд. техн. наук. Казахстан, Карагандинский технический университет, 2021. 135 с.
- Девянин А.А., Компанеец Б.С. Анализ аварийности воздушных линий и методы их диагностики / Сб. материалов Всероссийской научно-технической конференции «Интеллектуальная энергетика-2022». Барнаул: Межрегиональный центр электронных образовательных ресурсов, 2022. С. 296–300.
- Ефимов Е.Н., Тимашова Л.В., Ясинская Н.В. Причины и характер повреждаемости компонентов воздушных линий электропередачи напряжением 110–750 кВ в 1997– 2007 гг. // Энергия единой сети, 2012, № 5. С. 32–41.
- Титов Д.Е., Волхов К.В., Кудрявцев А.А. и др. К вопросу диагностики линейной изоляции // ЭЛЕКТРОЭНЕРГИЯ. Передача и распределение, 2017, № 6(45). С. 114–120.
- Правила технической эксплуатации электроустановок потребителей электрической энергии. Утв. приказом Минэнерго России № 811 от 12.08.2022. URL: https://docs.cntd. ru/document/351621634.
- Андреенков Е.С., Шунаев С.А. Контроль состояния подвесных изоляторов ЛЭП переменного тока напряжением 110–750 кВ // Сб. материалов докладов Национального конгресса по энергетике (НКЭ-2014). В 5 т. Т. 4. Казань: КГЭУ, 2014. С. 162–167.
- Гудиев Т.Т., Кабисов А.А., Плиева М.Т. Способы диагностики изоляторов воздушных линий электропередачи / Сб. материалов Международной научно-практической конференции студентов, аспирантов и молодых ученых, посвященной памяти проф. Данилова Н.И. (Даниловских чтений) «Энерго- и ресурсосбережение. Энергообеспечение. Нетрадиционные и возобновляемые источники энергии. Атомная энергетика. Екб: УрФУ, 2019. С. 100–103.
- Арбузов Р.С., Овсянников А.Г. Современные методы диагностики воздушных линий электропередачи. Новосибирск: Наука, 2009. 135 с.
- Астапова М.А., Лебедев И.В. Обзор подходов к детектированию дефектов элементов ЛЭП на изображениях в инфракрасном, ультрафиолетовом и видимом спектрах // Моделирование, оптимизация и информационные технологии, 2020, т. 8, № 4. С. 1–34.
- Овсянников А.Г., Арбузов Р.С. Ультрафиолетовая инспекция оборудования: желаемые и реальные возможности // Энергоэксперт, 2020, № 2(74). С. 20–27.
- Лебедев Д.В., Довгаль К.К., Горская Е.С. Осмотр воздушных линий и электрооборудования с помощью тепловизионной съемки с беспилотного летательного аппарата // Форум молодых ученых, 2017, № 12(16). С. 1122–1125.
- Иванов Д.А., Галиева Т.Г., ГоленищевКутузов А.В. и др. Детектирование акустических сигналов частичных разрядов на дефектах изоляционного оборудования // Омский научный вестник, 2021. № 6(180). С. 48–55.
- Мягких К.Ю. Новая технология экспресс-диагностирования высоковольтной изоляции // ЭЛЕКТРОЭНЕРГИЯ. Передача и распределение, 2019, № 6(57). С. 114–117.
- Белов С.И., Петров П.С. Прогнозирование аварийных отключений в электрических сетях 35–220 кВ // Вестник Московского государственного агроинженерного университета им. В.П. Горячкина, 2017, № 4(80). С. 77–82.
- Аюев Б.И. Методы и модели эффективного управления режимами единой электроэнергетической системы России. Автореф. дис. … докт. техн. наук. Новосибирск: НГТУ, 2008. 48 с.
- Хрущев Ю.В. Методы и средства управления программным движением генераторов по условиям обеспечения динамической устойчивости энергосистем. Автореф. дис. … докт. техн. наук. Новосибирская государственная академия водного транспорта, 2000. 38 с.
- Джумик Д.В. Определение параметров схем замещения линий электропередачи, силовых конденсаторов и резисторов, реакторов по массивам мгновенных значений токов и напряжений в рабочих режимах. Автореф. дис. … канд. техн. наук. Томск: ТПУ, 2008. 21 с.
- Вайнштейн Р.А., Пашковский С.Н., Юдин С.М. Выявление качественных признаков поврежденного элемента в электроустановках с компенсацией емкостного тока и с комбинированным заземлением нейтрали при дуговых замыканиях // Научные проблемы транспорта Сибири и Дальнего Востока, 2008, № 1. С. 102–107.
- Нагорных В.В. Математическое моделирование определения параметров изоляции отдельных фаз электрической сети с изолированной нейтралью // Горный информационноаналитический бюллетень (научнотехнический журнал), 2011, № S6. С. 394–405.
- Железко Ю.С., Артемьев А.В., Савченко О.В. Расчет, анализ и нормирование потерь электроэнергии в электрических сетях. Руководство для практических расчетов. М.: НЦ ЭНАС, 2004. 280 с.
- Новиков А.А., Левшунов Р.Т., Храмов Л.Ф. Токи утечки по загрязненным изоляторам / Сб. «Перенапряжения и изоляция высокого и сверхвысокого напряжения» Труды СибНИИЭ. М.: Энергия, 1974, вып. 25. 101 с.
- Тигунцев С.Г., Ахмедов С.Б., Турдиев А.Т., Шеркунков М.А. По поводу статьи «О возможности снижения наведенного напряжения на месте проведения ремонтных работ» // Электрические станции, 2019, № 1(1050). С. 33–37.
- Тигунцев С.Г. Способ определения места короткого замыкания на длинной линии электропередачи напряжений 220 кВ и выше. Патент RU № 2586438, МПК G01R 31/08, заявл. 29.04.2015, опубл. 10.06.2016.
- Тигунцев С.Г. Определение мест коротких замыканий на длинных линиях электропередачи высокого и сверхвысокого напряжения / Сб. трудов конференции «Энергетика России в XXI веке. Инновационное развитие и управление-2015». Иркутск: ИСЭМ СО РАН, 2015. С. 357–360.
- Учебное пособие для подготовки к лабораторным работам по курсу «Техника высоких напряжений» для студентов 3 курса ИШЭ. URL: https://portal.tpu.ru/SHARED/a/ALEXEYM/ metod_m/Tab/Учебник Лабораторные ТВН 2024.pdf.
- Анненков Е.О., Тигунцев С.Г. Определение места повреждения на воздушных линиях электропередачи. Св. о рег. пр. для ЭВМ. RU 2024615358. Дата публикации 06.03.2024 г.
- Висящев А.Н., Акишин Л.А., Тигунцев С.Г. и др. Диагностика состояния воздушных линий электропередачи 10–110 кВ в нормальных и аварийных режимах. Уч. пособие. Иркутск: Изд-во ИрГТУ, 2013. 248 с.
- Идельчик В.И. Электрические системы и сети. М.: Энергоатомиздат, 1989. 592 с.